2024年复试细则
内容过多,仅摘取重点。
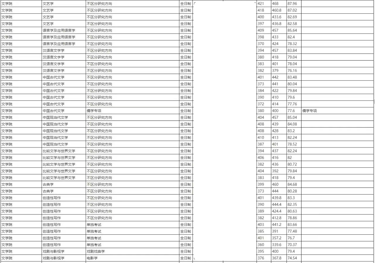
【分数线】

【招生计划】
(050101)文艺学(00)不区分研究方向6人
(050102)语言学及应用语言学(01)不区分研究方向4人
(050103)汉语言文字学(00)不区分研究方向3人
(050104)中国古典文献学(00)不区分研究方向1人
(050105)中国古代文学(01)不区分研究方向7人
(050106)中国现当代文学(00)不区分研究方向7人
(050108)比较文学与世界文学(00)不区分研究方向7人
(0501Z3)创造性写作(00)不区分研究方向5人
(130100)艺术学
(01)戏剧戏曲学(02)电影学4人
复试内容与形式
2024年我校硕士研究生招生复试采取线下复试方式开展,具体复试内容包括:
1.专业课、综合素质面试及思想政治素质(满分250分);
2.外语面试(含口语和听力,满分100分):听力考试和口试由精通外语的教师负责,考生以抽签方式确定口试题目回答问题,教师根据各人表现给予成绩;
3.笔试(含专业综合课笔试和外语笔试,满分150分):专业综合课笔试满分为100分,外语笔试满分为50分,考试总时长2小时。
4.同等学力加试:同等学力考生在复试中须加试两门与报考专业相关的本科主干课程,加试方式为笔试,单科满分为100分(加试时间、地点等信息报到时通知)。
注:思想政治素质考核以面试方式进行,考核内容包括考生的政治态度、思想表现、道德品质、遵纪守法、诚实守信等方面,该项面试成绩不计入综合考核总成绩,但思想政治素质考核不合格者不予录取。
复试成绩计算
1.原则上要求专业课和综合素质面试成绩150分以上、外语面试成绩60分以上、专业综合课笔试成绩60分以上、外语笔试成绩30分以上、同等学力加试成绩单科60分以上方可视为复试成绩合格;
2.将各项复试成绩均合格考生的复试成绩与初试成绩加权求和(初试成绩权重60%,复试成绩权重40%),并从高到低排列录取顺序;
3.复试结束后,我院将汇总考生各科目复试成绩,并按照学校规定在我院官网进行公示,请考生关注我院通知公告。
录取原则
各项复试成绩均合格的,分专业、分方向按加权总成绩,从高分到低分依序排列,择优录取。
【复试名单】

2024年复试录取情况
所有方向一志愿复试62人
备注:
2023年复试录取情况
【分数线】

【录取名单】

2022年复试录取情况
【分数线】

【录取名单】

